>   Next Workshop entry page, schedule, blackboard photos Prev.   <

Fields Institute Informal Working Group on Validated Methods for Optimization
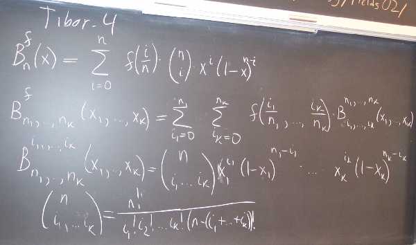
Tibor - 4: Bounding using Bernstein polynomials

 

Tibor - 4: Bounding using Bernstein polynomials

 

Tibor - 4: Bounding using Bernstein polynomials

 

Photo by Baker Kearfott
Original, 500-700K, 2160 x 1440 pixels
Workshop entry page www.fields.toronto.edu/programs/scientific/01-02/numerical/optimization